Im Januar hat die „Entdeckung“ eines bisher unbekannten Planeten im äußeren Sonnensystem Schlagzeilen gemacht. Tatsächlich entdeckt wurde zwar nix und die Story war auch nicht ganz so spektakulär wie manche Medien es dargestellt haben. Aber interessant war die Geschichte und vor allem die Wissenschaft dahinter auf jeden Fall und ich habe die Gelegenheit genutzt um eine Artikelserie über die Suche nach unbekannten Planeten im Sonnensystem im Allgemeinen und „Planet 9“ im Speziellen zu schreiben (Teil 1, Teil 2, Teil 3, Teil 4).

Planet 9? Künstlerische Darstellung: Caltech/R.Hurt(IPAC)
Planet 9? Künstlerische Darstellung: Caltech/R.Hurt(IPAC)

„Planet 9“ ist bis heute unentdeckt geblieben, aber natürlich haben sich die Wissenschaftler in der Zwischenzeit Gedanken gemacht, was man sonst noch über diesen hypothetischen Himmelskörper herausfinden könnte. Darunter waren auch Esther Linder und Christoph Mordasini die gestern eine Arbeit veröffentlicht haben, die sich mit den physikalischen Eigenschaften und der daraus folgenden Helligkeit von „Planet 9“ beschäftigt („Evolution and Magnitudes of Candidate Planet Nine“).

Es ist natürlich schwer, etwas über einen Planeten zu sagen, den man noch nicht mal entdeckt hat und bei dem noch nicht einmal klar ist, ob es ihn überhaupt gibt. Aber wenn es ihn gibt, dann wäre dieser Himmelskörper eine wunderbare Gelegenheit, um diverse Theorien und Hypothesen zur Planetenentstehung und Entwicklung zu überprüfen und verbessern. Aus der himmelsmechanischen Untersuchung der Umlaufbahnen von sonnenfernen Asteroiden die Mike Brown und Konstantin Batygin im Januar veröffentlicht haben, folgt dass „Planet 9“ eine Masse von 10 Erdmassen haben könnte und mindestens 700 Mal weiter von der Sonne entfernt ist als die Erde.

So weit draußen können eigentlich – zumindest nach dem was wir bis jetzt wissen – keine so großen Planeten entstehen. Dort gibt es zu wenig Material dafür und das was es gibt bewegt sich auch so langsam um die Sonne, dass es nur sehr selten zu Kollisionen kommt bei denen sich das Zeug zu größeren Objekten zusammenballen kann. Wenn es „Planet 9“ gibt, dann muss er vermutlich näher an der Sonne entstanden sein und dann durch die chaotischen Vorgänge im jungen Sonnensystem weiter hinaus geschleudert worden sein.

„Planet 9“ könnte ein nicht ganz zu Ende entstandener „Neptun“ sein. Große Gasplaneten beginnen ja als kleine „Kerne“ aus Metall und Gestein und wenn die weit genug wachsen, können sie dann auch dicke Gasschichten sich binden. Wenn sie aber durch die chaotischen Vorgänge aus dem inneren Sonnensystem geworfen werden, bevor es so weit, finden sie in den äußeren Bereichen nun kein Material mehr, mit dem sie weiterwachsen können.

Aus Simulationen zur Planetenentstehung wissen wir, dass solche Planeten tatsächlich entstehen und auch tatsächlich in die äußeren Regionen von Planetensystemen geschleudert werden. Und wenn das auch bei uns so gelaufen ist, dann kann man sich mit entsprechenden Modellen zur Entwicklung von Planeten überlegen, wie so ein Planet aussehen müsste und wie hell er ist.

Genau das haben Linder und Mordasini getan. Sie sind zuerst von einer „Standardmasse“ des Planeten ausgegangen, die 10 Erdmassen beträgt. 8,6 Erdmassen entfallen dabei auf den Kern aus Wassereis, Gestein und Metall; 1,4 Erdmassen auf die Gashülle aus (hauptsächlich) Wasserstoff und Helium besteht. So ein Planet hätte den Modellen zufolge heute einen Radius der dem 3,66fachen der Erde entspricht; also 23.300 Kilometer. Was die Leuchtkraft angeht ist „Planet 9“ aber viel dunkler und seine Helligekit entspricht nur dem 0,006fachen der Leuchtkraft des Jupiters. „Leuchtkraft“ bezieht sich in diesem Fall auf die intrinsische Leuchtkraft des Planeten. Also nicht die Menge an von der Sonne reflektiertem Licht sondern die thermische Energie, die er erzeugt. Das tut so ein Planet einerseits aufgrund der radioaktiven Elemente in seinem Inneren, die ihn aufheizen. Andererseits kontrahiert so ein Planet aber auch im Laufe der Zeit, er wird unter seiner eigenen Schwerkraft immer kleiner und bei dieser Komprimierung wird ebenfalls (Wärme)Energie frei.

Bei „Planet 9“ folgt aus den Rechungen von Linder und Mordasini, dass seine Temperatur heute etwa 47 Kelvin beträgt. Das ist ziemlich kalt, aber immer noch wärmer als die sogenannte Gleichgewichtstemperatur. Also die Temperatur, die sich einstellen würde, wenn der Planet einfach nur das Licht der Sonne absorbieren und/oder reflektieren würde. Die würde nur 10 Kelvin betragen und der Unterschied von 37 Grad zeigt, dass „Planet 9“ immer noch von seiner internen Wärme dominiert wird.

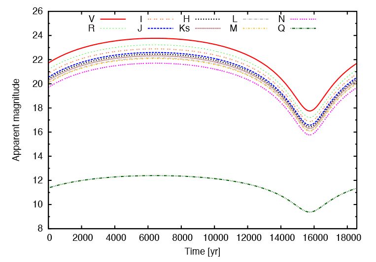
Das hat natürlich auch Auswirkungen auf die Helligkeit, mit der man den Himmelskörper sehen kann (bzw. könnte, wenn er da ist). Wie die sich im Laufe seines knapp 19.000 Jahre dauernden Umlaufs um die Sonne verändert, zeigt diese Grafik:

Bild: Linder & Mordasini, 2016
Bild: Linder & Mordasini, 2016

Die verschiedenen Kurven geben die Helligkeit in verschiedenen Wellenlängen an. Die rote mit „V“ markierte Linie gibt die visuelle Helligkeit an, also die, die wir theoretisch auch mit freiem Auge sehen können. In dem Fall aber nicht, da „Planet 9“ höchstens die 18 Größenklasse erreicht. Das ist weit jenseits dessen, was unsere Augen können und auch weit jenseits der meisten Teleskope. Viel heller ist der Planet im „Q“, die dunkelgrüne Linie ganz unten. Das ist die Helligkeit im mittleren Infrarotbereich, als – vereinfacht gesagt – die Wärmestrahlung.

Das hilft aber trotzdem nicht, da diese Art der Strahlung von der Erde aus kaum beobachtet werden kann und die bisher erfolgten Durchmusterungen mit Weltraumteleskopen entweder in die falsche Richtung geschaut haben, nicht lange genug geschaut haben oder nicht genau genug geschaut haben. Wenn der Planet nicht die 10fache Erdmasse hätte, sondern die 50fache, dann wäre er allerdings schon in den Daten des WISE-Teleskops aufgetaucht. Ist er aber nicht, also wissen wir zumindest schon mal, dass er nicht so schwer sein kann.

Wenn es „Planet 9“ wirklich geben sollte, dann müsste er aber von kommenden Durchmusterungsprogrammen gefunden werden. Sofern er die Eigenschaften hat, die er laut dieser Arbeit haben soll zumindest. Das ist halt das Problem mit dem Unbekannten: Solange man es nicht kennt, bleibt es eben unbekannt…

Von admin

15 Gedanken zu „Die physikalischen Eigenschaften und die Helligkeit von „Planet 9““
  1. So ein Planet hätte den Modellen zufolge heute einen Radius der dem 3,66fachen des Jupiters entspricht; also 23.300 Kilometer.

    Dieser Satz sollte sicherlich anders lauten, oder?

  2. ‚@Florian

    In dem Fall aber nicht, da “Planet 9” höchstens die 18 Größenklasse erreicht. Das ist weit jenseits dessen, was unsere Augen können und auch weit jenseits der meisten Teleskope.

    Mit einer CCD-Kamera kann man schon mit einem gängigen 8″-Teleskop in einer Minute 18. Größenklasse erreichen. Visuell braucht es schon etwas in der 1- bis 2-Meter-Klasse, aber auch die ist in Profi-Sternwarten eher noch als klein zu bezeichnen. Ich denke mal, Browns Aussage von neulich, dass es die „größten Sternwarten der Welt“ brauche, um Planet 9 zu finden, bezog sich auf seine erwartete jetzige Helligkeit in Sonnenferne im Bereich von 24. Größe, oder er unterschätzt die heutigen Möglichkeiten der CCD-Sensoren maßlos (die an einem großen Teleskop natürlich erst recht hohe Größenklassen erreichen).

  3. Frage: Welchen Einfluss haben Magnetfelder von Planeten auf die intrinsische Leuchtkraft? Oder ist das vernachlässigbar? Oder wird das einfach in der Definition nicht berücksichtigt?

  4. ‚@christian groschke

    Welchen Einfluss haben Magnetfelder von Planeten auf die intrinsische Leuchtkraft?

    Da Magnetfelder unsichtbar sind, etwaige Radiowellen nicht zur Helligkeit zählen und Polarlichter äußerst schwach sind (wenn’s die überhaupt 700+ AE von der Sonne noch gibt, was ich bezweifle – das ist ja schon außerhalb der Heliosphäre) – keinen.

  5. So ein Planet hätte den Modellen zufolge heute einen Radius der dem 3,66fachen des Jupiters entspricht; also 23.300 Kilometer.

    Ich glaube, hier ist das 3,66-fache des Erd-Radius gemeint.

  6. ‚@Alderamin

    Mit einer CCD-Kamera kann man schon mit einem gängigen 8″-Teleskop in einer Minute 18. Größenklasse erreichen. Visuell braucht es schon etwas in der 1- bis 2-Meter-Klasse, aber auch die ist in Profi-Sternwarten eher noch als klein zu bezeichnen.

    Ich war erst vor einer Woche auf einem Vortrag über das Teleskop der Ruhr-Uni Bochum in der Atacama-Wüste. Das dürfte vermutlich schon für solche Durchmusterungen nach Planet 9 geeignet sein. Aber leider, leider – sie sind gerade dabei, das Observatorium zu schließen, weil sie die niedrige sechsstellige Summe pro Jahr für den Betrieb nicht mehr aufbringen können.

    Eine verdammte Schande ist das!

  7. Gaia soll wohl im sichtbaren bis nahen Infrarot bis hinunter auf Mag. 20 gehen. Das dürfte für Planet 9 wohl nicht reichen, wenn die Annahmen stimmen. Und bei 19K Jahren Umlaufzeit wird er innerhalb unserer Lebenszeit auch nicht nennenswert näher kommen. Welche Durchmusterung soll ihn denn finden?

  8. ‚@Chris

    Fällt da bei der Exzellenzinitiative oder sonstigem Exzellenzclustergedöns nichts ab?

    Keine Ahnung. Soweit ich das verstanden habe, wurde der Betrieb bisher aus einem Fördertopf der Akademie der Wissenschaften und Künste finanziert. Aber diese hat sich anscheinend entschlossen, nur noch Projekte aus den Geisteswissenschaften zu unterstützen, weil sie billiger sind.

Schreibe einen Kommentar

Deine E-Mail-Adresse wird nicht veröffentlicht. Erforderliche Felder sind mit * markiert