Die Infinitesimalrechnung (Integration und Differentation) gehört zu den wichtigsten Werkzeugen der Naturwissenschaftler. Sehr viele Prozesse in der Natur lassen sich als Differentialgleichung darstellen; also als Gleichungen, in dem denen nicht nur der gesuchte Parameter selbst vorkommt sondern auch dessen Änderungsrate.

Um solche Differentialgleichungen lösen zu können, muss man sie integrieren. Das ist knifflig: jeder der schon ein bisschen auf diesem Gebiet gearbeitet hat weiß, dass die Integration im Gegensatz zum Differenzieren sehr schwer sein kann. Differenzieren geht immer. Da braucht man nur die bekannten Regeln anwenden und kann damit alles und jedes differenzieren – egal wie komplex der Ausdruck ist. Differenzieren kann auch jedes bessere Computer-Mathematikprogramm. Integrieren dagegen ist schwerer. Hier gibt es zwar auch ein paar Regeln – aber keine allgemeingültige Vorschrift wie bei der Differentation. Da braucht es dann sehr oft viel Kreativität bzw. Genialität um Lösungen für Differentialgleichungen zu finden. Und manchmal findet man überhaupt keine.

Auch in der Astronomie und speziell in der Himmelsmechanik ist das Lösen von Differentialgleichungen wichtig. Ich möchte hier jetzt eine ganz spezielle Methode vorstellen, bei der man Differentialgleichungen durch differenzieren lösen kann anstatt durch Integration!

i-52500d0a3da85bf7e2bc5f2eb4758829-Lie-thumb-150x182.jpg

Lie-Operatoren und Lie-Reihen

Die Methode der Lie-Integration basiert auf den Arbeiten des norwegischen Mathematikers Sophus Lie (1842-1899). Lie hat auf vielen Gebieten der Mathematik gearbeitet und sich auch mit Differentialgleichungen beschäfigt.

Dabei hat er den sg. „Lie-Operator“ eingeführt. Nicht erschrecken, jetzt wird es ein wenig mathematisch. Ist aber nicht schlimm – auch wenns fies aussieht, in Wirklichkeit ist es ganz einfach 😉

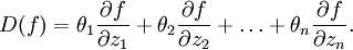
Der Lie-Operator D sieht folgendermaßen aus:

i-ed21da183a1a97562a9d5a62bcc73375-gleichung1.jpg

Ein Operator ist  im Prinzip nichts anderes als eine mathematische Rechenvorschrift. Was der Lie-Operator macht, sieht man am besten, wenn man ihn auf eine Funktion anwendet:

i-d6f0df1941c453e726b32a6beb4b5b46-gleichung2.jpg

Wir haben also eine Funktion f (z.B. f(x)=sin(x)) und wenden den Operator D auf sie an. Dann sagt uns der Operator, dass wir die Funktion zuerst nach z1 ableiten müssen – das ist die Bedeutung der ∂-Symbole. Diese Ableitung wird dann mit θ1 multipliziert, wobei θ1 ebenfalls eine bestimmte Funktion ist. Danach passiert das selbe nochmal mit z2 und θ2 – und so weiter. Keine Angst, es wird bald klarer, was ich meine. Wichtig ist vorerst nur, dass der Lie-Operator eine Rechenvorschrift ist, die (u.a.) sagt: Differenziere die Funktion!

Mit diesem Operator kann man nun eine Lie-Reihe definieren:

i-15c45a24fbd81a75ccab4a4fb5d1f9d6-gleichung3.jpg

Falls jemand das große Σ-Symbol nicht kennen sollte: Das ist eine mathematisch kurze Art, Summen zu schreiben. An der Ober- und Unterseite des Σ-Symbols sieht man, wie summiert werden soll. In diesem Fall soll zuerst im Ausdruck hinter dem Σ der Wert für ν gleich 0 gesetzt werden. Danach wird v gleich 1 gesetzt, dann gleich 2, usw. bis zum letzten Wert, der in diesem Fall unendlich ist. Dann werden alle Ausdrücke addiert.

Im Fall der Lie-Reihe müssen wir für jeden Teil der Summe einen Bruch berechnen (tv / v!), wobei das „!“ die Rechenoperation „Fakultät“ anzeigt (x!=1*2*3*…*x). Danach wird der Lie-Operator auf die Funktion f(z) angewandt und das Ergebnis mit dem Bruch multipliziert. Das hochgestellte v beim Lie-Operator gibt hier an, wie oft der Operator hintereinander angewandt werden soll.

Für v=0 ist das recht einfach: t hoch 0 ist 1 und 0! ist ebenfalls 1. Der Bruch ergibt also 1/1 = 1. Danach müssen wir den Lie-Operator null mal auf die Funktion anwenden – also gar nicht. Es bleibt also einfach nur die Funktion selbst übrig: f(z).
Für v=1 ist t hoch 1 gleich t und 1! ist wieder 1. Der Bruch ergibt also t/1=t. Dazu kommt der Lie-Operator, einmal angewandt auf f(z): t*Df(z).
Für v=2 ist t hoch 2 gleich t² und 2! ist 1*2=2. Nun muss der Lie-Operator zweimal auf f(z) angewandt werden, wir müssen also zuerst D(f) bestimmen und dann nochmal D (D(f)). Oder, in kürzerer Schreibweise: D²f(z).

Und so geht das dann weiter, für alle Zahlen zwischen 0 und unendlich. Wer ein bisschen mehr Ahnung von Mathematik hat, den erinnert die Sache mit den Brüchen vielleicht an etwas bestimmtes. Man kann nämlich eine Funktion wie z.B. sin(x) oder cos(x) auch als eine unendliche Reihe, so wie die Lie-Reihe oben, darstellen. Für die Exponentialfunktion ex sieht diese Reihe so aus:

i-9b91163618a06016763b5f418cd25910-gleichung4.jpg

Das sind genau die Brüche, die auch in der Lie-Reihe als Faktoren vor dem Lie-Operator auftauchen! Man kann also die Lie-Reihe auch symbolisch unter Miteinbeziehung der Exponentialfunktion so schreiben:

i-01e429cd990d670d7fd680dbb3e0c4c5-gleichung5.jpg

Der Vertauschungssatz

Was kann man nun mit so einer Lie-Reihe anstellen? Wolfgang Gröbner hat 1960 den sg. Vertauschungssatz aufgestellt und bewiesen (siehe „Die Lie-Reihen und ihre Anwendungen„; ist schwer zu kriegen das Buch – falls wer Interesse hat, einfach Bescheid sagen!). Dieser Satz besagt, dass es egal ist, ob ich zuerst die Funktion f auf den Parameter z anwende und dann erst den Operator etD oder ob ich die Reihenfolge vertausche:

i-4a9c82b0afa409c63d06c7125abf315a-gleichung8.jpg

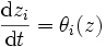
Wie hilft uns das jetzt bei der Lösung von Differentialgleichungen? Auch das kann man einfach zeigen. Angenommen, wir haben ein System von Differentialgleichungen (erster Ordnung) gegeben:

i-aefb267999bc2634f0be9f16508ad637-gleichung9.jpg

(Ich bringe dann nachher gleich ein Beispiel dazu). Wir wissen also, dass die zeitliche Änderung des Parameters zi (dzi/dt) gleich einer Funktion θi ist. Und wir wollen daraus den Parameter zi selbst bestimmen. Normalerweise müssten wir nun die Funktion θi integrieren um diese Lösung zu erhalten. Jetzt behaupte ich aber, dass die Lösung folgendermaßen gegeben ist:

zi = etDξi

wobei ξi die Anfangsbedingungen sind (also die Werte von zi zum Zeitpunkt t=0). Wenn ich auf diese Anfangswerte die Lie-Reihe anwende, dann bekomme ich die gesuchte Lösung! Dass das auch stimmt, lässt sich leicht zeigen, indem man diese Lösung nach der Zeit ableitet (also den Lie-Operaor anwenden):

i-39d0327ae4a60be33e29aacf81e0038b-gleichung10.jpg

Der Vertauschungssatz sagt mir dann, dass ich folgendes machen darf:

DetDξi = etDi

Wenn man den Lie-Operator auf ξi anwendet, dann bekommt man natürlich folgendes;

i-74e66a0627ba34facd2cf6fac6781219-gleichung11.jpg

Damit (und einer weiteren Anwendung des Vertauschungssatzes) kann man nun zeigen, dass aus unserer angenommen Lösung von oben wieder die ursprüngliche Differentialgleichung folgt:

i-efbf3aecd396051d57ffe9745897a431-gleichung12.jpg

Der Ausdruck

zi = etDξi

ist also tatsächlich die Lösung der Differentialgleichung – und das ganz ohne integrieren!

Ein Beispiel

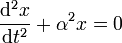
Vielleicht ist ein kleines Beispiel ganz praktisch (falls überhaupt jemand bis hier mitgelesen hat;) ). Nehmen wir an, wir wollen diese Differentialgleichung lösen:

i-b82002cda463ccf3ad2e3c40ae98b446-gleichung13.jpg

Physiker werden darin die bekannte Gleichung eines harmonischen Oszillators erkennen. Diese Gleichungen müssen wir noch ein bisschen umformulieren um auf ein System von Gleichungen erster Ordnung zu kommen:

i-f65174c4b29881eefc5de15c8a395610-gleichung14.jpg

i-610734eee53540e8000e8332c45e5647-gleichung15.jpg

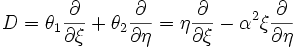
Wir haben also nun 2 Gleichungen für x und y . Dann brauchen wir zur Lösung noch Anfangsbedingungen für den Zeitpunkt t=0. Die werden normalerweise mit  ξ und η bezeichnet:  x(t = 0) = ξ und y(t = 0) = η. Damit können wir die explizite Form des Lie-Operators für dieses Beispiel anschreiben:

i-f0a4c738ceb54f1c075fc4d3de2ba849-gleichung16.jpg

Die Lösungen, die wir suchen, sind nun durch die Lie-Reihen gegeben:
 

x = eτDξ,
y = eτDη

Das Symbol τ steht hier für den Zeitschritt (tt0) – also den Zeitraum, der seit t=0 vergangen
ist und für den wir die Lösung suchen. Man kann nun die Lie-Reihe wieder explizit anschreiben (jetzt mal nur für x):

i-de541e6358c5bb0217f9c44d15207016-gleichung17.jpg

Nun kann man anfangen, die einzelnen Terme dieser Reihe zu berechnen:

Dξ = η = θ1
D2ξ = Dη = − α2ξ = θ2
D3ξ = − α2Dξ = − α2η
D4ξ = − α2Dη = α4

und so weiter. Im Prinzip könnte man das bis in alle Ewigkeit machen (müsste man eigentlich sogar, da es ja eine unendliche Reihe ist) – schwierig wäre es nicht. Wie schon gesagt – differenzieren kann man immer und mehr muss man hier nicht tun. Aber glücklicherweise kann man allgemein zeigen, dass in diesem Fall gilt:

D2nξ = ( − 1)nα2nξ
D2n + 1ξ = ( − 1)nα2nη

Ich muss also nicht alle unendlichen Terme berechnen, sondern kann einfach für n eine beliebige Zahl einsetzen und sofort den entsprechenden Term ausrechnen. Diese Terme kann ich nun in die Lie-Reihe einsetzen und bekomme:

i-5a42e8c410f2878c4754e8041eab1c59-gleichung18.jpg

Wenn man diese Ausdrücke noch ein wenig umsortiert, dann sieht das so aus:

i-e6113c72068c088605f6c2a7643c9727-gleichung19-thumb-500x39.jpg

Die Experten werden in den Reihen in den beiden Klammern wieder (so wie schon oben bei der Exponentialfunktion beschrieben) die alternativen Darstellungen zweier bekannter Funktionen erkennen: Kosinus und Sinus. Die Lösung lautet also:

i-789dcc35bc2914f3e4530e13587f599d-gleichung20.jpg

Und das ist glücklicherweise auch tatsächlich die Bewegungsgleichung eines harmonischen Oszillators. Wir haben die Differentialgleichung also gelöst – und das ganz ohne integrieren!

Lie-Integration in der Himmelsmechanik

Natürlich schafft man es nicht immer, als Lösung einen geschlossenen Ausdruck zu erhalten, wie in obigem Beispiel. Oft muss man sich damit begnügen, die unendliche Reihe der Lösung nach etwa 10 bis 20 Termen abbzubrechen. Das ist aber nicht sonderlich tragisch – denn die Lie-Reihen sind konvergent – jeder nachfolgende Term ist also immer kleiner als der vorhergehende. Man macht keinen großen Fehler, wenn man die Reihe abbricht und kann das Ergebnis sogar beliebig genau berechnen, wenn man mehr und mehr Terme berücksichtigt. Und da die Terme alle automatisch von Computerprogrammen berechnet werden können, lässt sich das alles wunderbar automatisieren.

Auch die Gleichungen des gravitativen N-Körper-Problems – also die Bewegung von N Himmelskörpern – konnten mit den Lie-Reihen (numerisch) gelöst werden. Hier sogar besonders elegant, weil man – wie bei dem Beispiel mit dem harmonischen Oszillator – eine Iterationsformel für die Lie-Terme finden konnte. Man muss hier also nicht mehr jede Ableitung explizit berechnen sondern kann einfach jeden Term aus dem vorhergehenden ausrechnen. Wer die Details wissen will, kann diese beiden Artikel hier durcharbeiten:

Maßgeblich beteiligt an der Entwicklung und am Einsatz der Lie-Integration in der Astronomie war Rudolf Dvorak, Leiter der Astrodynamik-Gruppe an der Wiener Universitätssternwarte. Und da auch ich dort meine Diplom- und Doktorarbeit geschrieben habe, hatte ich auch das Glück, in Kontakt mit dieser interessanten (aber leider wenig weit verbreiteten) Methode zu kommen.

Gerade für die Himmelsmechanik ist Lie-Integration sehr praktisch. Neben der hohen Genauigkeit erlaubt sie auch eine leichte Implementation einer Schrittweitensteuerung. Der Zeitschritt der Integration kann also während der Integration geändert werden – und damit kann man himmelsmechanische Probleme (nahe Begegnungen zwischen zwei Objekten, Objekte auf stark exzentrischen Bahnen,…) untersuchen, die mit anderen Methoden Probleme erzeugen. Auch für spezielle Fälle und Gleichungen lassen sich schnell die passenden Lie-Integratoren finden (ein Kollege hat sogar mal im Rahmen seiner Diplomarbeit eine Programm entwickelt, dass bei Eingabe einer Differentialgleichung automatisch ein fix und fertiges Lie-Integrationsprogramm ausgeworfen hat).

Wer selbst Lust hat, das ganze Mal auszuprobieren, kann hier einen Lie-Integrator runterladen (der allerdings nur unter Windows läuft).

Von admin

Schreibe einen Kommentar

Deine E-Mail-Adresse wird nicht veröffentlicht. Erforderliche Felder sind mit * markiert